Moin Jobfinder

Ergebnisse der COVARI-2-Studie publiziert

ELOM-080 in der ambulanten Behandlung von COVID-19

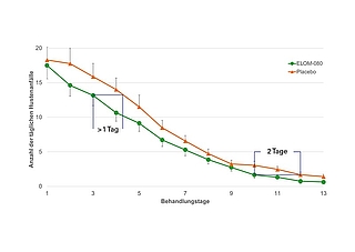
Rückgang der täglichen Hustenanfälle bei COVID-19-Patienten mit Verdacht auf eine gestörte mukoziliäre Clearance. Dargestellt sind die Mittelwerte und die Standardabweichung. Fehlende Werte wurden durch den schlechtesten Nachbarwert ersetzt. Gesamteffekt der Behandlungsgruppe: p = 0,007; n = 69. Modif. nach Dreher et al. 2025. © Pohl-Boskamp

Rückgang des Symptoms „Kurzatmigkeit unter Belastung“. Dargestellt ist jeweils die prozentuale Symptomschwere relativ zum Ausgangswert bei COVID-19-Patienten mit Verdacht auf eine gestörte mukoziliäre Clearance. Dargestellt sind die Mittelwerte (n = 69). Modif. nach Dreher et al. 2025. © Pohl-Boskamp

Hohenlockstedt (anz) – Die Firma Pohl-Boskamp stellte im Rahmen einer Pressekonferenz die Ergebnisse der COVARI-2-Studie vor. Die randomisierte, doppelblinde und placebokontrollierte, explorative Phase-II-Studie untersuchte die Wirksamkeit von ELOM-080 bei der Behandlung von COVID-19-Patienten im hausärztlichen Umfeld. Prof. Dr. Michael Dreher von der Uniklinik Aachen erklärte in seinem Vortrag: „Die aktuellen Ergebnisse bestätigen die Erkenntnisse aus der ersten COVARI-Studie und erweitern diese um die Perspektive der ambulanten Versorgung. Die Studie aus dem Jahr 2022 zeigte, dass hospitalisierte COVID-19-Patienten mit ELOM-080 als Add-on-Therapie nach Entlassung weniger Kurzatmigkeit unter Belastung aufwiesen und im Krankenhaus weniger zusätzlichen Sauerstoff benötigten.“ Die präsentierten Daten verdeutlichten, wie wichtig es sei, therapeutische Optionen weiterzuentwickeln, um eine symptomatische Behandlung der COVID-19-Erkrankung zur Verfügung zu stellen, so der Pneumologe und Erstautor der Studie.

COVID-19 ist in der täglichen Praxis nach wie vor ein relevantes Thema und belastet zusammen mit anderen viralen Atemwegsinfektionen das Gesundheitssystem sowie die Erkrankten. Daher sind Forschungen an neuen und auch etablierten Wirkstoffen für Therapieoptionen mit nachweislichem Nutzen, wie z. B. Symptomlinderung oder Verkürzung der Krankheitsdauer, von großer Bedeutung. „Bei jungen, gesunden Menschen verläuft eine COVID-19-Erkrankung meist mild. Dennoch fühlen sich Betroffene oft stark beeinträchtigt. Die Behandlung orientiert sich an den vorherrschenden Symptomen und erfolgt in der Regel ambulant. Nach der ersten Prüfung von ELOM-080 im stationären Bereich war es daher ein wichtiger und logischer Schritt, diese Therapie nun auch im hausärztlichen Umfeld zu untersuchen“, so Professor Dreher. ELOM-080 ist damit der einzige pflanzliche Wirkstoff mit zwei klinischen Studien bei COVID-19-Patienten.

Therapeutischer Ansatzpunkt: mukoziliäre Clearance
Studien zeigen, dass die mukoziliäre Clearance (MCC), der wichtige Schutz- und Reinigungsmechanismus der Atemwege und die vorderste Linie der unspezifischen Abwehr, bereits in der frühen Phase einer COVID-19-Erkrankung erheblich überlastet oder sogar weitgehend funktionslos ist. Bereits in früheren Untersuchungen konnte gezeigt werden, dass ELOM-080 ein Enhancement der MCC bewirkt. „ELOM-080 ist in der Therapie der akuten und chronischen Bronchitis sowie Sinusitis etabliert und als MCC-Enhancer geeignet zur Behandlung von entzündlichen Atemwegserkrankungen, die mit einer Funktionsbeeinträchtigung der MCC einhergehen“, erläuterte Dr. Ronja Burmeister, Fachreferentin Medizinische Wissenschaft bei Pohl-Boskamp, und ergänzte: „ELOM-080 aktiviert die MCC in den oberen und unteren Atemwegen, dies wurde bereits in präklinischen Studien belegt. Die Aktivität der Flimmerhärchen wird gesteigert, der zähe Schleim verflüssigt und die Produktion von dünnflüssigerem Sekret angeregt. Dadurch wird das Sekret mit anhaftenden Viren und Bakterien effektiv abtransportiert.“

ELOM-080 als Baustein in der ambulanten Therapie von COVID-19
Die nun veröffentlichte randomisierte, doppelblinde, placebokontrollierte, explorative Phase-II-Studie untersuchte, ob ambulante Patienten mit leichter bis mittelschwerer akuter COVID-19-Symptomatik von einer 14-tägigen Behandlung mit ELOM-080 profitieren, insbesondere im Hinblick auf die Linderung von Husten. Dazu wurden 121 Patienten im Alter zwischen 18 und 60 Jahren im Zeitraum von März bis Juli 2023 untersucht. Ein zentrales Einschlusskriterium war ein akuter Husten mit einer Hustenintensität von mindestens 5 auf einer numerischen Skala von 0 (keine Symptome) bis 10 (stärkste vorstellbare Symptome). Die Patienten erhielten entweder 4-mal täglich eine Kapsel mit dem Wirkstoff ELOM-080 (1.200 mg/Tag) oder ein Placebo.

Die primäre Analyse der Ergebnisse zeigte keine relevanten Unterschiede zwischen den beiden Behandlungsarmen. Grund hierfür ist vermutlich die große Heterogenität der eingeschlossenen Patienten, z.B. in Bezug auf die Schwere der typischen COVID-19-Symptome sowie die individuellen Krankheitsverläufe. Da der Beeinträchtigung der MCC durch eine COVID-19-Erkrankung ein hoher Stellenwert eingeräumt wird und in einer vorherigen Studie bei hospitalisierten Patienten gezeigt werden konnte, dass Patienten, die ELOM-080 als Add-on-Therapie erhielten, weniger Kurzatmigkeit unter Belastung aufwiesen und im Krankenhaus weniger zusätzlichen Sauerstoff benötigten, wurde eine Post-hoc-Analyse der aktuellen Daten durchgeführt. Hierfür wurden die Daten von Patienten verwendet, deren klinisches Bild
nahelegte, dass sie eine gestörte MCC aufwiesen.

Signifikant weniger Hustenanfälle und Rückgang der Kurzatmigkeit
Die ambulant versorgten COVID-19-Patienten mit Verdacht auf eine gestörte MCC zeigten unter ELOM-080 eine signifikante Reduktion der Hustenanfälle (p = 0,007) und einen Rückgang der Kurzatmigkeit unter Belastung (p = 0,0252). Für diese Symptome konnte zudem ein Heilungsvorsprung von 1 – 3 Tagen gezeigt werden. Nach Ende des 14-tägigen Behandlungszeitraumes beurteilten in der Verumgruppe im Vergleich zu Placebo deutlich mehr Patienten ihre COVID-19-Symptome als geheilt.

Prof. Dreher betonte: „Diese Studienresultate verdeutlichen, wie wichtig eine gezielte Therapie in der ambulanten Versorgung von COVID-19-Patienten ist. Gerade die Besserung besonders belastender Symptome wie Hustenanfälle und Kurzatmigkeit unter Belastung kann einen entscheidenden Beitrag zur Lebensqualität und zum Genesungsverlauf leisten.“ Sowohl die Ergebnisse der ersten COVARI-Studie als auch der COVARI-2-Studie zeigen einen klinischen Vorteil für COVID-19-Patienten durch den Einsatz von ELOM-080.

Über COVARI
Der COVARI-2-Studie voraus ging die 2022 veröffentlichte multizentrische, randomisierte, placebokontrollierte, explorative Phase-II-Studie (COVARI-Studie2). An der Studie beteiligten sich 11 Universitäts- und Fachkliniken. Ausgewertet wurden 35 COVID-19-Patienten, die auf der Isolierstation behandelt worden waren und eine Sauerstofftherapie benötigten. Die Betroffenen wurden 14 Tage mit ELOM-080 oder Placebo behandelt. Beides wurde als Zusatztherapie zur zentrumsspezifischen COVID-19-Behandlung verabreicht. Die Einnahme erfolgte oral. Die Dosierung für ELOM-080 betrug 2.400 mg/Tag (4 x 2 Kapseln à 300 mg täglich). Zweimal täglich wurde eine Beurteilung der im Vorfeld definierten COVID-19-Symptome durchgeführt, indem die Prüfärzte den Schweregrad der Symptome (z.B. Kurzatmigkeit unter Belastung) bewerteten. Die Patienten wurden nach ihrer Entlassung aus dem Krankenhaus nachbeobachtet und dokumentierten auch in diesem Zeitraum täglich ihre Symptome sowie ihre Beeinträchtigungen bei Aktivitäten (wie z. B. Kurzatmigkeit beim Treppensteigen). Im Vergleich zur Placebo-Gruppe berichteten die Patienten der ELOM-080-Gruppe über weniger Atemnot in der 2. Woche der Hospitalisierung (p = 0,0035). Die Patienten brauchten weniger zusätzlichen Sauerstoff (p = 0,0229) und hatten weniger Kurzatmigkeit beim Treppensteigen nach Entlassung aus dem Krankenhaus (p < 0,0001).

Über Pohl-Boskamp
Die G. Pohl-Boskamp GmbH & Co. KG mit Stammsitz in Hohenlockstedt, eines von Deutschlands führenden mittelständischen Pharmaunternehmen, hat sich bewusst für den Produktions- und Entwicklungsstandort Deutschland entschieden. Inhaberin Marianne Boskamp leitet das familiengeführte Unternehmen in der vierten Generation – zusammen mit ihrem Ehemann, Dr. Henning Ueck. Pohl-Boskamp produziert qualitativ hochwertige Arzneimittel und Medizinprodukte zur Behandlung von akuten und chronischen Erkrankungen. Das Unternehmen vertreibt internationale Markenprodukte wie GeloMyrtol® forte, Myrtol®, GeloTonsil® Gurgelgel, GeloRevoice®, GeloSitin®, Gepan®, Sobrade®, NYDA®, LOYON®, Nitrolingual akut® Spray und nationale DiGA wie Kalmeda®, Kranus Edera und Vantis.

zu den aktuellen Ausgaben

Wir möchten Sie darauf hinweisen, dass bei der Aktivierung des Magazins eine Verbindung zum Anbieter Yumpu aufgebaut wird und Daten übermittelt werden.

aktuelle Beilagen

Familien-Anzeige Online aufgeben

... hier klicken

Veranstaltungen

Beim aktivieren des Elements werden Daten an Facebook übertragen.